Zajímavé derivatizační reakce používané v HPLC

    Derivatizační reakce vedoucí k tvorbě detekovatelných derivátů v oblasti HPLC zde nejsou systematicky rozděleny podle funkčních skupin, ale jsou uvedeny jako výčet jednotlivých derivatizačních reakcí.

Další derivatizační reakce využitelné v HPLC naleznete zde.

V případě, že chcete získat bližší informace o těchto aplikacích musíte mi napsat E-mail.


1. a-ketokyseliny

2. Alifatické formaldehydy

3. Reakce substituovaného guanidinu

4. Reakce guaninu

5. Reakce diisokyanátů

6. Reakce thiolů

7. Reakce aminů a amidů (sulfonamidů)

8. Literatura


1. a-ketokyseliny

    Některé reakce a-ketokyselin byly již popsány (například zde). Mezi další zajímavé reakce tohoto typu je možné zařadit reakci kyseliny dehydroaskorbové s benzamidinem (činidlo A) za přítomnosti siřičitanu sodného (0,2 mol/l) v prostředí 0,25 mol/l borátového pufru pH 10,5 (činidlo B). Nejprve dochází ke smíšení činidla A s činidlem B v poměru 1:1 ve směšovací komůrce (T-kus) a poté teprve dochází k reakci s analytem po jeho smíšení ve směšovací komůrce a reakční kapiláře. Derivatizace probíhá při teplotě 90 – 100 °C po dobu 1,5 minuty (kapilára délky 30 m o vnitřním průměru 0,5 mm) - SCHEMA - a vznikající derivát se detekuje při 400 nm s excitační vlnovou délkou 325 nm.[1],[2]

2. Alifatické formaldehydy

    Rakce alifatických aldehydů s 1,3-diketony (1,3-cyklohexandion) za přítomnosti amoniaku za vzniku fluoreskujících derivátů byla pospána již zde...

3. Reakce substituovaného guanidinu

    Benzoin (2-hydroxy-2-fenylacetofenon) kondenzuje se substituovaným guanidinem na 2-substituovaný amino-4,5-difenylimidazol.[3] Reakce probíhá v methylcellosolvu za přítomnosti 2-merkaptoethanolu, siřičitanu sodného a hydroxidu draselného za varu. Reakce je ukončena přídavkem kyseliny chlorovodíkové a následně pufru 0,5 M-Tris/HCl na pH 9,2. Přídavek 2-merkaptoethanolu stabilizuje výsledný derivát imidazolu a siřičitan sodný potlačuje pozadí fluorescence. Tyto imidazoly jsou vhodné k chromatografické separaci s fluorescenční detekcí s excitační vlnovou délkou 325 nm a emisní vlnovou délkou 425 nm.Derivatizace byla uplatněna při stanovení guanidinových derivátů - creatinu, agmatinu apod.[4]

4. Reakce guaninu

    Fenylglyoxal (PGO) kondenzuje s guaninem při teplotě 20 °C ve 30 mM fosfátovém pufru pH 5,8 (doba reakce 30 minut) na fluoreskující derivát, který se může separovat na reverzní fázi (mobilní fáze acetonitril - fosfátový pufr pH 6,2; 18+82) a detekovat při 512 nm s excitační vlnovou délkou 365 nm. [5]

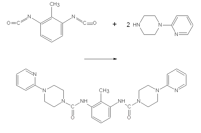
5. Reakce diisokyanátů

    Isokyanáty jsou stabilní pouze v nevodném prostředí a v přítomnosti vody se snadno hydrolyzují na organické aminy a oxid uhličitý. Diisokyanáty se po extrakci do dichlormethanu za přítomnosti bezvodého síranu sodného a po filtraci derivatizují 1-(2-pyridyl)piperazinem při 30 °C za vzniku derivátů močoviny. Deriváty se analyzují na reverzní fázi C18 s fluorescenční detekcí (Ex.: 240 nm, Em.: 370 nm) gradientovou elucí. [6]

6. Reakce thiolů

    Monobrombiman a dibrombiman byly popsány jako činidlo pro thiolovou skupinu a je komerčně dostupné. Protože fluorofory nejsou stabilní v alkalickém prostředí a jsou citlivé vůči světlu, musí reakce probíhat v neutrálním prostředí za tmy. Obvykle se používá dvojnásobek ekvivalentního množství brombimanu vůči thiolu v uhličitanu amonném (pH 8,0 obsahující EDTA). Reakce proběhne do 3 minut za laboratorní teploty.[7] Separace probíhá na reverzní fázi a deriváty thiolů mohou být detekovány řádově v pmolovém množství (excitační vlnová délka 375 nm, emisní vlnová délka 480 nm).[8]

     K dalším činidlům, která se využívají jako derivatizační patří 5,5´-dithiobis(2-nitrobenzoová) kyselina (DTNB) a 8-hydroxychinolin-5-sulfonová kyselina (HQS) za přítomnosti kademnatých iontů při pH 10. Obě reakce se používají pro reakci za kolonou. 5,5´-dithiobis(2-nitrobenzoová) - Ellmanovo činidlo je symetrický dislufid, který v přítomnosti volné thilové skupiny snadno podléhá štěpení - dochází k záměně substituentu v disulfidické vazbě činidla za vzniku 2-nitro-5-thiobenzoátu (TNB). TNB vystupuje jako dianinont a má relativně vysokou absorbanci při 412 nm. Reakce je citlivá vůči vyššímu pH, kde konkurují ionty OH (místo SH), je citlivá k volnému kyslíku (oxidace SH kupiny) a vůči teplotě. Proto reakce probíhá při pH 7,4 ve fosfátovém pufru.

7. Reakce aminů a amidů (sulfonamidů)

    p-Dimethylaminobenzaldehyd (p-DMBA) v kyselém prostředí reaguje s aminy, deriváty močoviny, sulfonamdiy za vzniku barevného kondenzátu typu Schiffovy báze. Při reakci dochází k odštěpení molekuly vody, která vzniká z kyslíového atomu karbonylové skupiny (p-DMBA) a dvou vodíkových atomů reagující aminoskupiny. protože je reakce poměrně rychlá, může probíhat za kolonou (stanovení sulfonamidů[9]), ale používá se i předkolonová derivatizace. V tomto případě reakce probíhá v kyselém prostředí (octová kyselina, sírová) při teplotě 80 - 90 °C po dobu 10 minut. [10] Kondenzát

8. Literatura

Literární odkazy a podmínky vybraných derivatizačních reakcí za kolonou naleznete zde...


 

[1]. Seki T., Yamaguchi Y., Noguchi K., Yanagihara Y.: J. Chromatogr. 332, 283 (1985).

[2]. Koshiishi I., Mamura Y., Imanari T.: J. Chromatog. A, 806, 340 (1998).

[3]. Kai K., Yamaguchi M., Ohkura Y.: Anal. Chim. Acta 120, 411 (1980).

[4]. Kai K., Miyazaki T., Ohkura Y.: J. Chromatogr. 311, 257 (1984).

[5]. Tsuchie M., Hara S., Kimura M., Fuji M., Ono N., Kai M.: Anal. Sci. 17, 811 (2001).

[6]. Ocuppational Safety & Health Administartion, Diisocyanates, Method no. 42 http://www.osha.gov/dts/sltc/methods/organic/org042/org042.html

[7]. Fahey R.C., Newton G.L.: Methods. Enzymol. 143, 85 (1987).

[8]. Fahey R.C., Newton G.L., Dorian R., Kosower E.M.: Anal. Biochem. 111, 357 (1981).

[9]. Smallidge R.L., Albert K.: J. AOAC int. 83, 260 (2000).

[10]. Rind F.M.A., Khuhawar M.Y., Rajper A.D.: J. Pharm. Biomed. Anal. 26, 331 (2001).

 

Last modified: