Detekční systémy - Detektory
Detektory jsou umístěny na konci kolony a analyzují efluent. Detektory zaznamenávají rozdíl mezi průchodem čisté mobilní fáze a mobilní fáze obsahující eluovanou složku celou detektoru. Detektory se nejčastěji dělí na detektory koncentrační a hmotnostní. Koncentrační detektory reagují na změnu hmotnostní koncentrace složky v efluentu dm/dV nezávisle na přívodu složky do detektoru. Hmotnostní detektory reagují na změnu hmotnostního toku složky v efluentu dm/dt do detektoru. Jiný způsob dělení je na detektory nedestrukční a detektory destrukční. V nedestrukčních detektorech nedochází k chemické změně detekované komponenty, v destrukčních detektorech se detekovaná komponenta ireverzibilně mění.
Koncentrační detektory reagují na změnu hmotnostní koncentrace složky v efluentu dm/dV nezávisle na přívodu složky do detektoru. Hmotnostní detektory reagují na změnu hmotnostního toku složky v efluentu dm/dt do detektoru.
Jiný způsob dělení je na detektory nedestrukční a detektory destrukční. V nedestrukčních detektorech nedochází k chemické změně detekované komponenty, v destrukčních detektorech se detekovaná komponenta ireverzibilně mění.
Odezva detektorů (měřený signál) je různým způsobem ovlivněna objemovou rychlostí toku mobilní fáze celou detektoru, teplotou, napětím v síti, nečistotami v mobilní fázi a podobně - obecně náhodným šumem. Měřený signál se tedy skládá jednak z užitečného, koncentrací analytu podmíněného signálu a z poruch, které jsou způsobeny náhodnými nebo soustavnými vlivy v přenosovém kanálu.
Mezi koncentrací složky v efluentu rM a intenzitou analytického signálu R (odezvou detektoru) je nejčastěji lineární a v ideálním případě platí vztah pro koncentrační detektor:

kde k1 je konstanta úměrnosti, která zde vystupuje jako citlivost. Tento lineární vztah však neplatí pro všechny detektory. Lineární úsek závislosti log R proti hodnotám log rM se nazývá lineární dynamický rozsah detektoru.
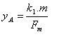
Plocha signálu yA představuje časově závislou intenzitu signálu (R), která je závislá na koncentraci detekované složky v efluentu rM:

Platí-li předpoklad, že eluovaná látka vchází do detektoru ve formě válečku, pak její hmotnostní koncentrace rM je konstantní a rovna m/V, kde m je celková hmotnost komponenty ve válečku a V je objem válečku. Protože je rM konstantní, platí:

kde V = Fm.t a je Fm objemová rychlost toku mobilní fáze a dosazením za Dt = V/Fm dostáváme:

a z této rovnice vyplývá, že plocha píku yA je přímo úměrná celkové hmotnosti eluované komponenty a nepřímo úměrná objemové rychlosti toku mobilní fáze a je zřejmé, že pro kvantitativní vyhodnocení musí být průtok mobilní fáze konstantní.
Pro hmotnostní detektor platí rovnice:

kde k2 je konstanta úměrnosti, ostatní symboly mají stejný význam jako v předchozí rovnici. Pak můžeme obdobně dosazením psát rovnici:

ze které vyplývá, že pro tyto detektory je plocha píku úměrná celkové hmotnosti eluované komponenty a je nezávislá na objemové rychlosti toku mobilní fáze.
Šum je amplituda základní linie vyjádřená ve voltech, ampérech nebo absorbančních jednotkách, která zahrnuje všechny nepravidelné změny signálu detektoru a je charakterizován jedním nebo více cykly za minutu. Šum na základní linii je tedy krátkodobá změna základní linie způsobená změnou elektrického signálu, nestabilitou lampy detektoru, teplotními fluktuacemi a dalšími faktory. Šumem se tedy rozumí kolísání odezvy detektoru pocházejících z periodických změn v systému. Šum se obvykle měří od píku k píku tj. od vrcholu malého píku k úpatí druhého píku. Šum je faktor, který limituje citlivost detektoru. Výška jednoznačně detekovatelného píku musí být dvojnásobek šumu základní linie. Ke kvalitativnímu určení se obvykle pokládá výška píku (mez detekce) trojnásobku šumu a ke kvantitativnímu stanovení musí být výška píku desetinásobek šumu. Výpočet meze detekce a meze stanovitelnosti
Další parametr vztahující se ke kolísání signálu detektoru je drift. Drift ukazuje dlouhodobou nestabilitu základní linie a vyjadřuje se jako průměrný sklon obálky šumu ve voltech, ampérech nebo absorbančních jednotkách za hodinu. Drift je spojen obvykle při změně teploty detektoru při jeho první půlhodině provozu. Grafické znázornění šumu na základní linii a driftu základní linie:

Last modified: