Derivatizace v HPLC

 

1.1 Činidla pro aminy a aminokyseliny

 

Stanovení aminosloučenin metodou HPLC, pomineme-li problematickou přípravu vzorku, separaci těchto látek na chromatografické koloně (iontová chromatografie, separace na reverzní fázi), je limitováno detekcí a to nepřítomností vhodného chromoforu v molekule. Vlastní kvantifikace aminů  v HPLC není možná bez předchozího kroku  jejich derivatizace.  Mechanismus derivatizace primární a sekundární aminoskupina je obvykle reakce nukleofilní substituční reakcí.

 

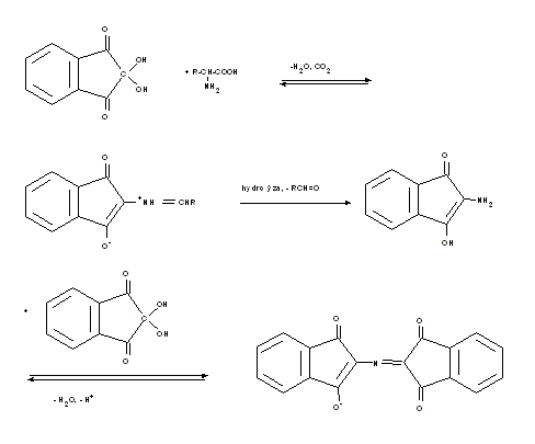
Ninhydrin

Isokyanáty a isothiokyanáty

Acylchloridy

Arylsulfonylchloridy

Nitrobenzeny

1.1.1 Ninhydrin

 

Ve většině z ranných prací se modifikovala základní metoda Moorea a Steina, ve které byly aminokyseliny separovány na ionexové koloně s postkolonovou derivatizací ninhydrinem.[1],[2] Reakční mechanismus ninhydrinu s aminokyselinami je poměrně složitý a je znázorněn na schématu (I). Molekula aminokyseliny reaguje a dvěma molekulami ninhydrinu za vzniku tzv. Ruhemannova purpuru jehož maximum absorbance je při 570 nm.[3], [4], [5], [6], [7] Sekundární aminokyseliny jako prolin a hydroxyprolin poskytují poněkud odlišný komplex s maximem absorbance při 440 nm (II, R=H - prolin, R=OH - hydroxyprolin).[8], [9] Protože je reakce ninhydrinu při laboratorní teplotě velmi pomalá, probíhá reakce při teplotě 100-135 °C po dobu 1-2 minuty.

 

1.1.2 Isokyanáty a isothyokyanáty

 

Rozložení elektronové hustoty u isokyanátů a isothiokyanátů ukazuje, že atom uhlíku karbonylové skupiny bude silným nukleofilním centrem. Elektrofilní atak může nastat v obou místech - na atomu dusíku nebo kyslíku u isokyanátů a na atomu dusíku nebo síry u isothiokyanatanů. Z uvedeného je zřejmé, že u isokyanátů bude přednostním místem elektrofilního ataku atom kyslíku, u alkylisothiokyanátů pak atom dusíku.

 

1. Fenylisothiokyanát (PITC) a naftylisothiokyanát (NITC)

 

Fenylisothiokyanát (PITC) se používá výhradně pro předkolonovou derivatizaci aminů (C3 až C10) a aminokyselin a následnou separaci derivátu aminokyselin jako fenylthiokarbamoylu (PTC) aminokyselin na reverzní fázi s gradientovou elucí s detekcí UV většinou při 254 nm, i když absorbční maxima derivátů jsou 269 nm.[10],[11] Schéma ilustruje chemismus derivatizační reakce - ta probíhá ve dvou stupních přes fenylthiokarbamoylaminokyseliny až na fenylthiohydantoiny (PTH), které vznikají cyklizací fenylthiocarbamoyluaminokyseliny.

Detailní popis metody podali.[12] Nevýhodou je, že samotné činidlo reaguje s interferujícími látkami (reziduální kyseliny) ve vzorku a ty dávají interferující píky na chromatogramu (matrix effect). Proto se musí vzorek dvakrát odpařovat k suchu a to před přídavkem činidla a následně po reakci se nadbytek činidla odstraňuje za vysokého vakua vysušením přes noc nad pevným NaOH. Stabilita derivátu je funkcí teploty a času. Za laboratorní teploty je maximální stabilita při pH 5,0-7,5. Derivatizovaný vzorek může být uskladněn při teplotě - 20 oC až 1 týden pod dusíkem, za obyčejné teploty dochází k jejich degradaci (<2 % za hodinu) zejména u derivátů cystinu, valinu, isoloeucinu a kyseliny glutamové.

 

2. Fenylisokyanát a naftylisokyanát

 

Fenylisokyanát reaguje s alifatickými a aromatickými primárními a sekundárními aminy na N,N´-disubstituovanou močovinu. Reakce je kvantitativní a probíhá v několika minutách. Primární aminy poskytují vždy velmi stabilní deriváty, voda a alkoholy také reagují s činidlem, ale aminoskupina je reaktivnější. Reakce probíhá v N,N´-dimethylformamidu (DMF), nadbytek činidla se odstraňuje přídavkem alifatického alkoholu. Separace probíhá na reverzní fázi při vlnové délce 240 až 260 nm a detekční limit je 1 - 10 ng.[13]

 

1.1.3 Acylchloridy

 

Acylchloridy reagují obecně s aminoskupinou za vzniku amidů, přičemž reakce probíhá vždy v alkalickém prostředí, protože se v reakčním prostředí uvolňuje kyselina chlorovodíková a ta by se vázala na původní amin. Jako bazická činidla se používají pyridin, hydroxid sodný, triethylamin.

1. p-Methoxybenzoylchlorid

 

Absorbční maximum derivátů se pohybuje kolem 252 nm. Při použití p-methoxybenzoylchloridu jako činidla se pracuje v tetrahydrofuranu za přítomnosti uhličitanu draselného a to pro primární aminy při 50 °C po dobu 3 hodin a sekundární aminy 12 hodin pod zpětným chladičem.

2. m-Toluoylchlorid

 

Z mnoha acylchloridů poskytuje pouze m-toluoylchlorid deriváty, které jsou rozpustné v nepolárních rozpouštědlech a jsou tak velmi snadno extrahovatelné z reakčního prostředí. Reakce probíhá v prostředí pyridinu, při teplotě okolí a je ukončena do 5 minut. Jako extrakční činidlo se používá dichlormethan a separace amidů probíhá na reverzní fázi s UV detekcí při 254 nm, limit detekce je asi 5 ng. Stabilita derivátů je 6 měsíců. Reakce m-toluoylchloridu s polyfunkčními aminy nebo aminy s funkční hydroxyskupinou probíhá poněkud odlišně tak, jak je znázorněno v reakci.

3. Benzoylchlorid

 

Benzoylchlorid je nejpreferovanější derivatizační činidlo pro diaminy a polyaminy. Deriváty mohou být uchovávány při teplotě - 20 oC až tři týdny. Detekční limit derivátů polyaminů při vlnové délce 254 nm je asi 100 pmol. [14]

 

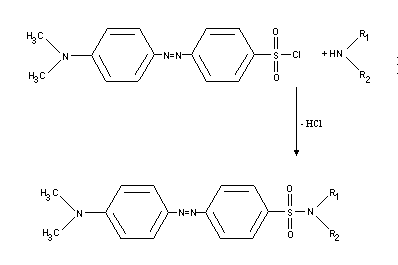
1.1.4 Arylsulfonylchloridy

1. Toluensulfonylchlorid (TSCl)

 

Arylsulfonylchloridy reagují s primárními i sekundárními aminy za vzniku sulfonamidů. Reakční podmínky jsou obdobné jako při reakci acylchloridů - jako reakční prostředí se používá aceton a vodný roztok 0,5 M -  NaHCO3, reakce probíhá při teplotě 70 °C po dobu 60 minut. Reakční produkt je přečištěn hexanem a toluensulfonamidy jsou extrahovány do chloroformu. Toluensulfonamidy nejen že mají vyšší absorbční koeficienty ale současně zlepšují separaci na chromatografické koloně (reverzní fáze při vlnové délce 254 nm).

 

2. N,N´-Dimethylaminoazobenzensulfonylchlorid (DABSCl)

 

Dimethylaminoazobenzensulfonylchlorid je jedno z derivatizačních činidel používaných ke stanovení aminokyselin. Deriváty sulfonamidů mají absorbční maximum při 420 až 450 nm a dovolují tak detekci při vyšších vlnových délkách a nedochází tak k interferencím na chromatografické koloně. Derivatizační podmínky jsou následující: alkalické prostředí hydrogenuhličitanu sodného (0,5 M - NaHCO3), 50 °C, pH 8,9 a doba reakce je asi 30 minut. Separace aminokyselin probíhá na reverzní fázi při isokratické eluci s UV detekcí při 464 nm, ale nedochází k separaci histidinu a argininu.[15], [16]

 

1.1.5 Nitrobenzeny

1. 2,4-dinitro-1-fluorbenzen (DNFB)

 

Činidlo dinitrofluorbenzen (též Sangerovo činidlo) bylo použito k derivatizaci aminů a aminokyselin. Reakce 2,4-dinitro-1-fluorbenzen s primárními i sekundárními aminy je velmi rychlá. 4 -nitrobenzoyl skupina propůjčuje derivatizovaným aminům vysoce absorptivní chromofor. Derivatizační reakce probíhá v alkalickém prostředí (1 % fosfátový pufr, pH 9,0). Reakce kvantitativně proběhne do 15 minut při teplotě 85 °C. Naředěním acetonitrilem a úpravou pH na hodnotu pH 6,5 jsou deriváty stabilní asi 20 hodin při laboratorní teplotě.[17]  Separace probíhá na reverzní fázi při vlnové délce 254 nm. 

2. Trinitrobenzensulfonová kyselina (TNBSA)

 

2,4,6 - trinitrobenzensulfonová kyselina byla použita pro stanovení aminoglykosidů v biologických materiálech - amikacinu a tobramycinu v krevním séru.[18] Reakce probíhá v prostředí acetonitrilu, při teplotě 70 °C, pH 9,5 až 10 do 30 minut. Deriváty se přečišťují na pevné fázi C18 a separace na reverzní fázi při teplotě 50 oC a při vlnové délce 254 nm, detekční limit je 25 pmol. Výhodou tohoto činidla je jeho selektivita, na rozdíl od 2,4-dinitro-1-fluorbenzenu reagující i s fenoly, protože s hydroxylovou skupinou reaguje velmi obtížně.

 

Literatura


[1] Moore S.and Stein W.H.: J.Biol.Chem. 192, 663 (1951).

[2] Moore S. , Spackman D.H. and Stein W.H.: Anal. Chem. 30, 1185 (1958).

[3] Ruhemann S.: J. Chem. Soc. 97, 1438 (1910).

[4] Ruhemann S.: J. Chem. Soc. 97, 2025 (1910).

[5] Woker G. and Antener I.: Helv. Chim. Acta 20, 1260 (1937).

[6] Mac Fadyen D.A.: J. Biol. Chemistry 186, 1 (1950).

[7] Neuzil E., Pauc A., Baraud J.: Bull. Soc. Chim. 1964, 448.

[8] McCaldin D.J.: Che. Rev. 60, 45 (1960).

[9] Johnson A.W. and McCaldin D.J.: J. Chem. Soc. 1958, 817.

[10] Tarr G.E. in Methods in Enzymology (Hirs C.H.W. and Timasheff S.N., Eds.), Vol. 47, strana 335, Academic Press, New York 1977.

[11] Heinrikson R.L. and Meredith S.C.: Anal. Biochem. 136, 65 (1984).

[12] Bidlingmeyer B.A., Cohen S.A. and Tarvin T.L.: J.Chromatogr. 336, 93-104 (1984).

[13] Bjorkqvist B.: J. Chromatogr. 204, 109 (1981).

[14] Boulton A.A., Bush I.E.: Biochem.J. 92, 11 (1964).

[15] Lammens J., Verzele M.: Chromatographia 11, 376 (1978).

[16] J.-K. Lin, C.-H. Wang.: Clin. Chem. 26, 579 (1980).

[17] Elrod L., White L.B., Wong C.W.: J. Chromatogr. 235, 215 (1982).

[18] Kabra P.M., Bhatnagar P.K., Nelson M.A.: J. Chromatogr. 307, 224 (1984).